Cost of Capital
The cost of capital is the required return that a company must earn on its investments to maintain its market value and satisfy its investors. It represents the cost of funds used to finance business operations, including debt, preference shares, and equity capital. Understanding the cost of capital is crucial for making financial decisions related to investment projects, capital structure, and corporate valuation.
Concept of Cost of Capital
The cost of capital is the minimum return a company must generate to compensate investors for the risk they take. It serves as a benchmark for evaluating investment opportunities and helps businesses determine whether to finance new projects using debt, equity, or a combination of both.
Key Aspects of Cost of Capital
- Determines the minimum acceptable return on investments.
- Influences decisions related to capital budgeting and capital structure.
- Helps businesses assess financial feasibility before making long-term investments.
- Considers the risk associated with various financing sources, such as loans, bonds, preference shares, and equity shares.
1. Cost of Debt Capital
Concept
The cost of debt capital is the effective interest rate a company pays on its borrowed funds, including bank loans, bonds, and debentures. It is a key component of the overall cost of capital since debt financing is commonly used due to its tax advantages.
Formula for Cost of Debt (Kd)
Where:
- Interest Expense is the annual interest paid on debt.
- Tax Rate is the corporate tax rate.
- Total Debt includes all interest-bearing liabilities.
Example
If a company takes a loan of $1,000,000 at an interest rate of 8%, and the corporate tax rate is 30%, then:

Key Points
- Interest payments are tax-deductible, reducing the effective cost.
- Secured loans typically have lower costs than unsecured loans.
- Higher debt levels increase financial risk, affecting the company’s credit rating.
2. Cost of Preference Share Capital
Concept
The cost of preference share capital represents the return required by preference shareholders. Since preference shares pay fixed dividends, they resemble debt but do not offer tax benefits like debt financing.
Formula for Cost of Preference Capital (Kp)
Example
If a company issues preference shares at $100 per share with a fixed dividend of $8 per share, then:

Key Points
3. Cost of Equity Share Capital
Concept
The cost of equity is the return expected by equity shareholders. Since equity financing does not require fixed interest payments, it is considered riskier than debt and preference shares, leading to a higher required return.
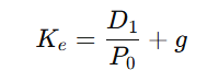
Formula for Cost of Equity (Ke) using Dividend Discount Model (DDM)
- D1 = Expected dividend per share next year.
- P0 = Current market price per share.
- g = Expected growth rate of dividends.
Example
If a company’s stock is currently trading at $50 per share, expects to pay a dividend of $5 per share next year, and the expected growth rate of dividends is 4%, then:

Key Points
- Equity financing does not involve fixed obligations, but it increases ownership dilution.
- Higher business risk increases required returns on equity.
- Investors expect compensation for market risk and company performance.
4. Weighted Average Cost of Capital (WACC)
Concept
The Weighted Average Cost of Capital (WACC) represents the overall cost of capital from all sources, including debt, preference shares, and equity. It is the average rate of return a company must earn on its investments to satisfy its financiers.
Formula for WACC
- D = Total debt
- P = Total preference capital
- E = Total equity capital
- V = Total capital (D + P + E)
- Kd = Cost of debt
- Kp = Cost of preference shares
- Ke = Cost of equity
- T = Corporate tax rate
Example Calculation
If a company has the following capital structure:
- Debt: $500,000 (Cost of debt = 6%)
- Preference Shares: $200,000 (Cost of preference capital = 8%)
- Equity: $300,000 (Cost of equity = 12%)
- Corporate tax rate = 30%
Key Points
- Lower WACC indicates lower financing costs, making projects more profitable.
- Increasing debt (up to a certain level) reduces WACC due to tax benefits.
- Companies must maintain an optimal mix of debt and equity to balance risk and cost.
Conclusion
The cost of capital is a fundamental financial metric that influences corporate investment, financing, and valuation decisions. Companies must carefully manage their capital structure to minimize WACC and enhance shareholder value. A balanced mix of debt, preference shares, and equity helps businesses optimize financial stability, risk management, and profitability.





No Comments